What is collagen?
Derived from the Greek word "kólla”, which means glue, collagen is the main structural protein holding your body together.
Think About:
There’s one essential protein responsible for all of this, and that’s… collagen.

Collagen isn't just one protein, it's a family of proteins that dominate our body that make up about 30% of your body's total protein and around 6% of the weight in your muscles. This means that in a typical adult male, collagen can account for 5 to 10 kg of body weight.
You can think of collagen as the body’s scaffolding, acting as the foundation that supports, strengthens, and protects. It’s what keeps your skin firm, your bones robust, your nails tough, and your hair shiny.
Research on collagen began in the 1800s, but the collagen discovered is just a tiny bit older. Collagen was first found in the soft tissue of a 68-million-year-old Tyrannosaurus rex fossil, showing its durability over such a long period. Despite its durability, lack of collagen is involved in various diseases. We’re talking:

Cancer
Low collagen makes tissue stiffer around tumours, impacting cancer growth and treatment effectiveness.
Arthritis
Reduced collagen in cartilage damages joints, leading to pain and less mobility.
Hereditary Conditions
Genetic mutations can affect collagen, causing conditions like Ehlers-Danlos syndrome, which results in overly flexible joints and fragile tissues.
Collagen is essential not just for physical structure, but for overall health and well-being.
Do you remember the DNA double helix? Well, collagen has a similar twisty structure, but with three strands twisted together, which makes it extra strong and flexible.
Over time, scientists discovered 28 types of collagen in total. Leaving aside ‘minor collages’, these are the types that make up 90% of collagen in our bodies.

Type 1
Forming a network of fibres that supports and strengthens tissues
Healing and repairing damaged tissues by forming new tissue and providing a framework for cells to rebuild
Forming a scaffold for mineral deposits like calcium, which adds strength and rigidity
Type 2
Maintaining cartilage that cushions bones and reduces friction, supporting smooth and pain-free movement
Type 3
Providing elasticity, allowing tissues to stretch and return to their original shape
Like all other proteins, collagen too is made up of several building blocks, primarily amino acids. These building blocks can be found in natural occurring foods:
Dietary Deficit
While collagen can be found in some foods, they are usually less common in modern diets. Even with a balanced diet, it’s tough to get enough of the specific amino acids your body needs to produce collagen.
Ageing Hits Hard
Collagen production slows in your mid-20s, and by the time you hit 40, you could be losing about 1% of your collagen each year.
Life Takes a Toll
Everyday factors like UV exposure, pollution, smoking, and stress accelerate collagen breakdown. Poor sleep and high sugar intake also impacts on your body’s ability to produce healthy collagen levels.
Meet Colleen

Colleen is 45 and has started noticing significant changes in her body, which she attributes to the natural ageing process.
Colleen’s skin has become thin and fragile, with more wrinkles popping up every day. Her complexion looks dull and a bit saggy, and she’s getting bruises and cuts that take forever to heal.

Her hair has gotten thinner and more brittle, losing its shine, and her nails are weak, constantly splitting and cracking.

Colleen’s joints are feeling the strain too. She wakes up with stiff knees and aching hips, and even going for a walk leaves her feeling sore and tired. On top of that, her digestion isn’t what it used to be, she’s often bloated and uncomfortable after meals.
All these changes have really started to affect how she feels about herself, and she’s wondering if there’s anything she can do to slow down these symptoms.


After a bit of research, Colleen discovers that there are various ways to supplement collagen, including powders and pills. But as she digs deeper, she finds that all the science points to hydrolyzed collagen peptides as the most effective option.
We mentioned the durability of natural collagen, and that’s because it’s a massive 300,000 Daltons, which, trust us, is pretty big for a molecule. But when it's broken down into collagen peptides, those molecules shrink to about 3,000 to 6,000 Daltons.
Then, hydrolyzed collagen takes it even further, breaking those peptides down more, making them easier to absorb. Hydrolyzed collagen ends up about 98.67% smaller and can be absorbed up to 95% within just 12 hours. It’s kind of like breaking a giant chocolate bar into tiny bits, the smaller the pieces, the quicker and easier it is to digest.
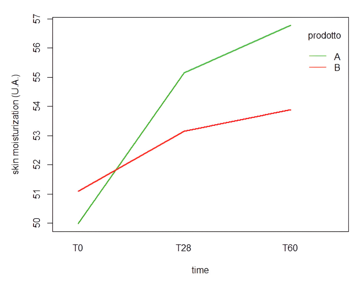
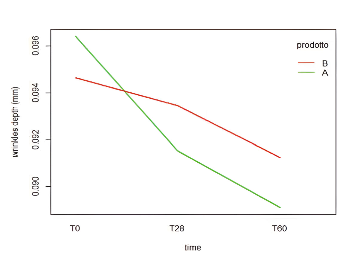
The effects of these peptides are clearly shown by several studies: hydrolyzed collagen boosts skin elasticity, improves hydration, and reduces wrinkles.



So, Colleen is sold on hydrolyzed collagen peptides. But not just any collagen peptide—she chooses Simply Nootropics. Here's why:
Highest standards ensured with third-party testing for quality and purity. Plus, they’re zero sugar, making them a perfect choice for anyone mindful of their sugar intake. And they come in delicious flavours, so they’re not just effective, they’re enjoyable too. They’re also keto-friendly, non-GMO, and gluten-free, so they fit seamlessly into different diets and lifestyles.
A powerful 15 grams of collagen peptides per serving gives your body a real boost. Studies show improvements in skin elasticity, joint health, and overall well-being start with just 2.5 grams a day. With Simply Nootropics, you’re getting six times that amount for faster and more noticeable results.
An extra 500 mg of NR (Nicotinamide Riboside), a form of vitamin B3 that supports cellular energy and metabolism. NR works by boosting NAD+ levels in the body. This translates into more than just better skin and joint health, it means improved energy levels, enhanced cognitive function, and overall better ageing.
Do you remember when we said hydrolyzed peptides can usually reach 6000 dalton? Our peptides cut that in half and some, coming in at just 2,000 Daltons. This smaller size makes them even more bioavailable, so you’re getting more benefits with each dose.
Your collagen questions, answered
We’re here to help you feel better, faster. Ask us anything.
Collagen is a protein that makes up about one-third (!) of the protein in your body. It keeps your skin supple, hair shiny, nails strong, and joints moving freely. Collagen is also found in bones, teeth, tendons, blood vessels, cartilage, and even your digestive tract. It is essential for maintaining the strength and health of various tissues in the body.
Collagen peptides are small, easily digestible pieces of collagen protein derived from hydrolysed collagen. They support skin health, joint function, and overall vitality by providing essential amino acids necessary for collagen production in the body.
Completely different, and here’s why: hydrolysed collagen, known as collagen peptides, is collagen that has been broken down into smaller, more easily absorbed molecules through a process called hydrolysis. This makes it more bioavailable, meaning your body can absorb and utilise it more effectively. The molecular weight of collagen peptides affects their absorption. Peptides with a molecular weight under 5000 Da are generally preferred for better bioavailability. When looking at a collagen supplement, less than 3,000 Da is optimal, and most brands sit between 2,000 Da and 5000 Da on the markets. Ours is around 1,000Da for maximum absorption and efficacy.
Hydrolysed collagen is processed through hydrolysis, which breaks down the larger collagen molecules into smaller peptides. This process enhances its effectiveness by making it easier for the body to absorb and utilise. The degree of hydrolysis and the quality of the source material are crucial factors in determining the collagen's effectiveness.
Type I collagen is crucial for skin, tendon, and bone health. Type II collagen supports cartilage and joint health, while Type III collagen helps maintain the structure of muscles, organs, and arteries. This blend ensures comprehensive support for various aspects of your health. Shop our range of collagen powder in Australia now.
Nicotinamide Riboside (NR) is a form of vitamin B3 that boosts NAD+ levels, supporting cellular repair and energy production. When combined with collagen, NR enhances the anti-aging benefits, promoting better skin health and overall rejuvenation at a deeper level.
Everything. We created Vital Beauty after realising the marketplace was lacking an all-in-one daily collagen supplement that included the exact dosing of ingredients to optimise collagen production. Vital Beauty combines 15 grams of hydrolysed collagen per serve with a synergistic blend of 10 other potent ingredients: NMN (500mg), TMG (500mg), Biotin (10mg), Keratin (500mg), Hyaluronic Acid (100mg), L-glutathione (250mg), Grape Seed Extract (200mg), Vitamin C (250mg), and Vitamin E (65mg). This blend not only supports skin, hair, nails, bones, and joints but also boosts overall vitality, making it the most comprehensive and value for money collagen drink available. And the cherry on top? It tastes delicious too.
Collagen supplements offer numerous benefits, including improved skin hydration and elasticity, reduced joint pain and enhanced joint function, stronger hair and nails, support for gut health, increased bone density, better muscle recovery, and faster wound healing. Individual results may vary, but many users report noticeable improvements within a few weeks of consistent use.
Yes, hydrolysed collagen can help alleviate joint pain and arthritis by supporting collagen production, reducing inflammation, and enhancing mobility. Regular supplementation can provide significant relief from joint discomfort and improve overall joint health.
The time it takes to see results can vary widely from person to person. Generally, noticeable improvements in skin health and joint function can be observed within 4-6 weeks of consistent use. Some users report seeing benefits in as little as 2-3 weeks.
Collagen supplements are generally considered safe for most pregnant women, but it's important to consult with a healthcare provider before starting any new supplement to ensure it is okay for your individual health needs. Our collagen blends include other ingredients that are generally safe too. Many of our customers have experienced benefits such as improved skin elasticity, minimised appearance of stretch marks, and enhanced hair and nail strength.
No, our products do not contain any artificial colours, flavours, or sweeteners. Simply Nootropics only uses natural ingredients to ensure the highest quality and safety for our customers.
We spent nearly a year perfecting our flavours. We pride ourselves on having the most delicious and refreshing collagen drinks on the market, with natural flavours that make health and wellness a daily enjoyable experience. Not too sweet, not too bitter, just right.
We currently offer three delightful flavours in our collagen range:
Mango Passion: A delicious and refreshing tropical blend that combines the sweetness of mango with the tangy notes of passionfruit. Perfect for a fruity boost to your daily routine.
Mixed Berry: A vibrant and juicy mix of berries that delivers a burst of flavour with every sip. It's a crowd favourite for those who love the taste of fresh, ripe berries.
Unflavoured: For those who prefer a neutral option, our unflavoured collagen is incredibly versatile. It can be easily added to your favourite drinks or foods without altering their taste.
Our collagen drinks are crafted to be the best tasting in Australia, ensuring you enjoy every serving while supporting your health and beauty goals.
Our collagen is primarily derived from animal sources, such as bovine (cattle). Plant-based alternatives do not contain collagen but may include ingredients that support the body's natural collagen production.
Our supplements are made in New Zealand and is then dispatched from our New Zealand and Australian warehouses for fast same day dispatch shipping. We use only the highest quality ingredients and third-party test all of our batches before they go out to ensure purity and safety.
At Simply Nootropics, we prioritise sustainability by using plastic-free packaging for our Vital Beauty - Premium Collagen Peptides, and spoons are made from sugarcane which are fully biodegradable, protecting the planet and ensuring product freshness.
Our collagen supplements are formulated by our in-house neuroscientist, Dr. Brian P. Ramos from Yale University, and our inhouse science and health team ensuring a scientifically-backed formulation that's based on research, science and studies.
Yes, our collagen peptides can be used in conjunction with all of our Simply Nootropics supplements and other general supplements. They complement a healthy diet and lifestyle, but it's always best to consult with a healthcare provider before starting any new supplement regimen to ensure there are no interactions